🔥 Alkane Activation | Solid-State Reactivity using a Cobra Wide Nozzle

Posted 4th December 2025 in Cobra Publications

Activating simple alkanes like methane and ethane is one of chemistry’s long-standing challenges — but recent work led by researchers at the Australian Centre for Neutron Scattering (ANSTO) and the University of Oxford demonstrates a remarkable route forward.

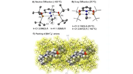
Using neutron single-crystal diffraction, the team directly observed how an operationally unsaturated iridium–pincer complex activates methane and ethane in the crystalline solid state; an exceptionally rare feat. Cooling was a critical part of the experimental design, with the Oxford Cryosystems Cobra ensuring stable, low-temperature conditions needed to capture these fleeting reaction pathways with clarity.

🔗 DOI: https://doi.org/10.1021/jacs.4c18122

This study highlights how precise, reliable cryogenic control enables new frontiers in mechanistic chemistry, allowing researchers to visualise transformations that were previously out of reach. An exciting demonstration of what becomes possible when advanced sample environments meet cutting-edge neutron techniques.

👉 Find more case studies like this in our new Cobra brochure

📘 An Operationally Unsaturated Iridium-Pincer Complex That C−H Activates Methane and Ethane in the Crystalline Solid-State [Matthew R. Gyton, M. Arif Sajjad, Daniel J. Storm, Kristof M. Altus, Joe C. Goodall, Chloe L. Johnson, Samuel J. Page, Alison Edwards, Ross O. Piltz, Simon B. Duckett, Stuart A. Macgregor, and Andrew S. Weller] Journal of American Chemical Society, 2025, DOI: 10.1021/jacs.4c18122